Calcul littéral avec la notation scientifique
mercredi 27 avril 2005
par
par
n°1
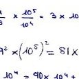
Étant donnés $a=9\times10^5$ et $b=3\times10^4$, écrire en notation scientifique : $ab$ ; $\frac {a}{b}$ ; $a^2$ ; $a+b$
n°2
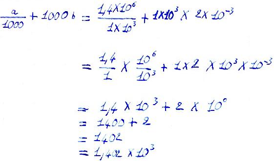
Étant donnés $a=1,4 \times 10^6$ et $b=2 \times 10^{-3}$ calculer en notation scientifique : $\frac{a} {1000}+1\:000b$

Commentaires