Suites d’opérations sur les fractions
par
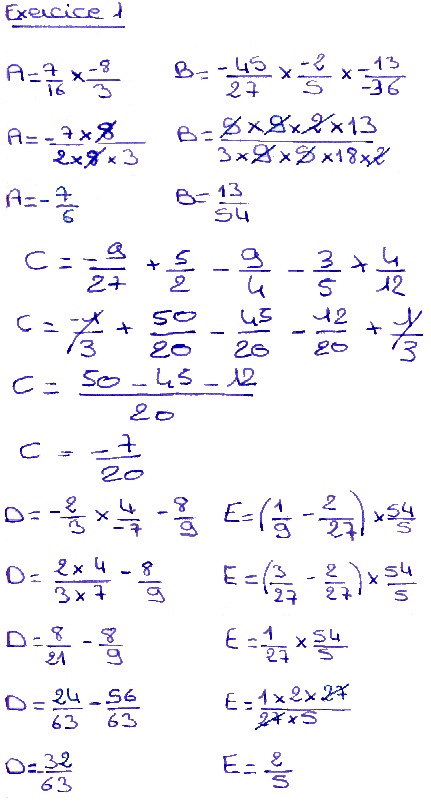
n°1
Calculer le plus adroitement possible et en écrivant le résultat sous la forme d’une fraction irréductible.
$A=\frac{7}{16} \times \frac{-8}{3}$
$B=\frac{-45}{27} \times \frac{-2}{5} \times \frac{-13}{-36}$
$C=\frac {-9}{27}+\frac{5}{2}-\frac{9}{4}-\frac{3}{5}+\frac{4}{12}$
$D=-\frac {2}{3} \times \frac{4}{-7}-\frac{8}{9}$
$E=\left(\frac {1}{9}-\frac{2}{27}\right) \times \frac{54}{5}$
n°2
Même question pour les quantités suivantes.
$F=\frac {5}{3}\times\left(3-\frac{5}{6}-\frac{7}{3}\right)$
$G=\left(-5+\frac {1}{7}\right)\times\left(\frac{3}{2}+2\right)$
$H=\frac{11}{4}\times\frac {2}{3}+\frac{-5}{6}\times\frac{5}{3}$
n°3
Calculer le plus adroitement possible et en écrivant le résultat sous la forme d’une fraction irréductible.
$A=\frac {-5}{18}\times\frac{6}{-25}-\frac{8}{5}$
$B=\frac {28}{\frac{4}{3}}$
$C=\frac {-44}{27}\div\frac{22}{18}$
n°4
Calculez sous la forme d’une fraction irréductible :
$A=2 \times (3-\frac{1}{3})+\frac{1}{2}-\frac{5}{4}$
$B=\frac{40}{27} \times \frac{-12}{15}-\frac{5}{3}$
n°5
Une fraction « exotique » !
Calculer : $E= \frac{1-\frac{1}{4}+\frac{1}{1+\frac{1}{4}}}{1+\frac{1}{4}-\frac{1}{1+\frac{1}{4}}}$

Commentaires